公司邮箱:1281980314@qq.com
公司地址:佛山市南海区桂城街道永安北路2号
2024年12月30日,国际顶级期刊《Nature Communications》发表题为“High Piezoelectric Property with Exceptional Stability in Self-Poled Ferroelectric Films”的文章。其中,我司自主研发的ZMPiezo-P型d33压电系数测量仪凭借其卓越性能和良好的品质,成为研究团队测量压电材料在温度变化下d33压电系数重要工具。该型仪器在文中主要体现出以下三个特点:
1、压电陶瓷及薄膜材料压电系数的高精度测量
我司的d33压电系数测量仪不同于传统测量仪,是基于压电系数定义,利用正压电效应,通过获取施加力及产生的电信号来得到材料的压电系数,因此不受材料种类限制,既可以用于陶瓷块体材料的压电系数测量,也可以用于薄膜材料的压电系数测量。
文中,研究团队首先通过用传统的陶瓷测量仪器及我司仪器对同一压电陶瓷片进行测量,如下图所示,两种仪器的结果一致。
研究团队又利用逆压电效应,通过激光扫描测振仪(LSV)测得不同厚度薄膜材料的d33压电系数,进一步验证了我司仪器对薄膜材料测量结果的合理性。
这是继前一篇《Nature Communications》文章(“A method for quantitatively separating the piezoelectric component from the as-received “Piezoelectric” signal”),通过与理论结果的比较证明了我司仪器测量结果的高精度后,又通过与多种不同测量方式的商用仪器的比较,证明了我司仪器测量的有效性。
2、可变温在位检测
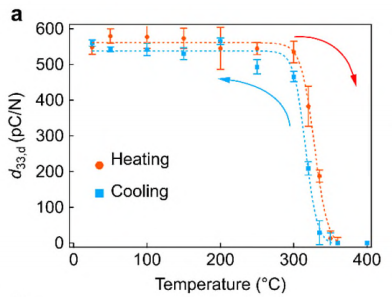
我司的ZMPiezo-P型d33压电系数测量仪支持-150°C至550°C变温在位测量,为系统性分析压电系数随温度变化提供了技术支持。文章中,研究团队采用该设备,对压电薄膜材料在25°C至400°C区间进行了变温在位测量,结果如下图所示。该结果为文章结论提供了主要的数据支撑。
3、可视化的操作界面
我司的d33压电系数测量仪配备“智能一体化”电脑软件。良好的可视化操作界面,方便了测量条件的控制,并能及时、直观的反馈测量结果,助力研究人员快速分析材料性能。
我司自主研发的d33压电系数测量仪,不仅是一款高性能科研仪器,其简洁的操作模式和大尺寸样品台,也能为压电材料在微机电系统(MEMS)器件、可穿戴智能设备等新型工业产品的研发提供关键技术支持。
